أسئلة مشابهة في هندسي
في الشكل المجاور، أوجد قيمة س + ص
في الشكل المجاور، أوجد قياس الزاوية أ
إذا كان لدينا سرعتين يتحركون في اتجاهين مختلفين، فإن العلاقة المستخدمه معهما :
أوجد مساحة المظلل في الشك ل التالي إذا كانت م منتصف الدائرة :
أوجد مساحة الشكل كامل بدلالة ط
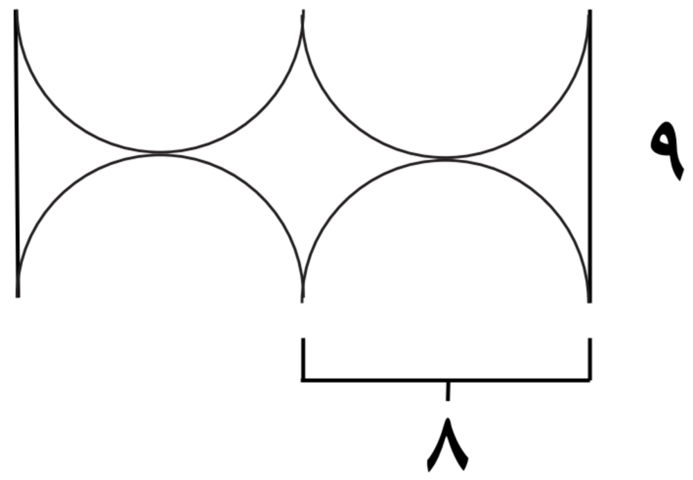
إذا كانت أنصاف الدوائر متساوية، أوجد محيط الشكل :
الشكل المجاور مستطيل و الشبه بين الطول و العرض ٤ : ٣ ، احسب مساحة المستطيل
في الشكل المجاور : دائرة قطرها ٤ سم، ما مساحة الجزء الغير مظلل؟
إذا كان نصف قطر الدائرة = ٣، وقاعدة المتوازي في مركز الدائرة، كم مساحة المنطقة المظللة؟
في الشكل التالي، أوجد قيمة ص :
تابعنا على تيليقرام واستعد لاختبارك مع أهم التدريبات والنصائح!